Dr. John Lott has a new piece up at Fox News responding to all the false claims about how Australia’s gun control laws are a model that the US should follow. This is from a much longer discussion in the book, The War on Guns, and see the data at the end of this post from Lee and Suardi for part of the period. Dr. John Lott provided testimony to the Australia federal senate here on this issue (and his testimony made it into the Senate Committee’s final report available here).
The piece starts this way:
If only reducing crime and suicides was so easy. In reality, gun control efforts in Australia have not been as successful as we’ve been led to believe.
In fact, the only proven policy to stop gun attacks is deterrence – by allowing law-abiding citizens to defend themselves and others, as President Trump correctly pointed out Thursday on Twitter and in remarks at the White House.
The president tweeted: “If a potential ‘sicko shooter’ knows that a school has a large number of very weapons talented teachers (and others) who will be instantly shooting, the sicko will NEVER attack that school.”
The president added: “Cowards won’t go there … problem solved. Must be offensive, defense alone won’t work!”
This effective action proposed by the president has been greeted with disdain by most of the media.
Instead, news organizations such as USA Today, the New York Times and the Washington Post have all run stories in recent days crediting Australia’s 1996-1997 gun buyback program with cutting the firearm homicide and suicide rates in half, and eliminating mass public shootings.
Our friends in Australia have been only too eager to offer advice telling us to follow their example.
Australian Foreign Minister Julie Bishop recently offered to explain to Americans the best gun control regulations. Over this past weekend a church in Australia got international attention for putting up a sign saying: “When will they love their kids more than their guns.”
Responding, anti-gun politicians from Hillary Clinton to President Obama have pointed to Australia’s gun laws as a model that we should closely examine.
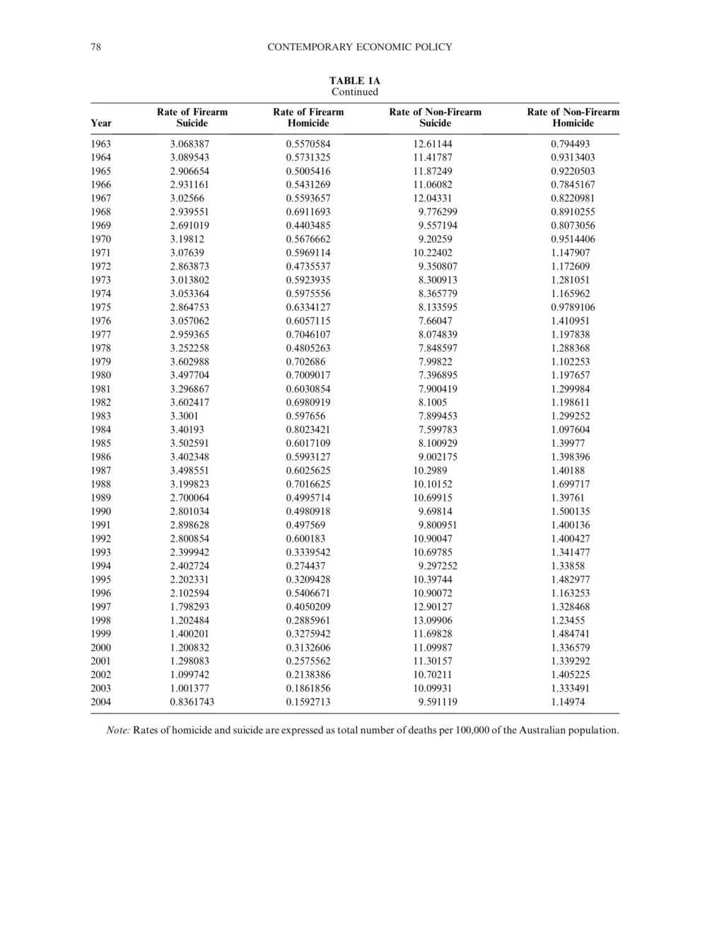
But looking at simple before-and-after averages of gun deaths in Australia regarding the gun buyback is extremely misleading. Firearm homicides and suicides were falling from the mid-1980s onwards, so you could pick out any subsequent year and the average firearm homicide and suicide rates after that year would be down compared to the average before it.
The question is whether the rate of decline changed after the gun buyback law went into effect. But the decline in firearm homicides and suicides actually slowed down after the buyback.
Australia’s buyback resulted in almost 1 million guns being handed in and destroyed, but after that private gun ownership once again steadily increased and now exceeds what it was before the buyback.
In fact, since 1997 gun ownership in Australia grew over three times faster than the population (from 2.5 million (p. 5) to 5.8 million (p. 63) guns).
Gun control advocates should have predicted a sudden drop in firearm homicides and suicides after the buyback, and then an increase as the gun ownership rate increased again. But that clearly didn’t happen.
For other crimes, such as armed robbery, what happened is the exact opposite of what was predicted. The armed robbery rate soared right after the gun buyback, then gradually declined.
Gun control advocates like to note that there has been no mass public shooting in Australia since the buyback. But they are simply picking out a country that happens to “prove” what they want it to prove.
European countries such as Belgium, France and the Netherlands have even stricter gun control laws than Australia does, but their mass public shooting rates are at least as high as those in the United States.
During the Obama administration, the per capita casualty rate from shootings in the European Union was actually 27 percent higher than the U.S. rate.
Even excluding fights over sovereignty and including the recent attacks in Las Vegas, the Texas church shooting in November, and the Florida school massacre, the number of mass shootings in the rest of the world has been much worse than in the U.S. since at least as far back as 1970.
Many point to the widely covered work by the University of Alabama’s Adam Lankford, who claims that 31 percent of mass public shootings from 1966 to 2012 have occurred in the U.S. But Lankford’s totals don’t line up with others, and he has refused repeated requests to release a list of his cases.
New Zealand also provides a useful comparison to Australia. They are both isolated, island nations, and have similar socioeconomics and demographics. Their mass murder rates were nearly identical prior to Australia’s gun buyback.
From 1980 to 1996, Australia’s mass murder rate was 0.0042 incidents per 100,000 people. New Zealand’s was 0.0050 incidents per 100,000 people. After 1997, both countries experienced similar drops in mass murders, even though New Zealand had not altered its gun control laws.
It would be just as misleading for gun control critics to cite only New Zealand as it is for gun control advocates to cite Australia.
The right approach is to look at a lot of similar places and see what gun control measures actually made a difference. To do just that, Bill Landes of the University of Chicago and I collected data on all multiple-victim public shootings in all the United States from 1977 to 1999.
We examined 13 different gun control policies, including: waiting periods, registration, background checks, bans on assault weapons, the death penalty, and harsher penalties for committing a crime with a firearm.
But only one policy reduced the number and severity of mass public shootings: allowing victims to defend themselves with permitted, concealed handguns.
Since 1950, all but six U.S. mass public shootings have happened in areas where general citizens were banned from having guns. And in Europe, every single mass public shooting has occurred where guns are banned.
Killers have good reason to avoid places where people have guns. In dozens of cases concealed-carry gun permit holders have stopped mass public shootings. In the Texas church shooting last year, the killer was killing the wounded when a man living near the church shot him.
Yet gun control advocates keep focusing on laws that won’t make any difference. None of the mass public shootings since at least 2000 would have been stopped by universal background checks.
Relying on Australia requires a misreading of the evidence, and requires that we ignore what has happened in all the other countries with strict regulations. The truth is that gun control hasn’t worked for anyone.
The piece is available here.








If my memoru serves aright, Austrailia have not had a school shooting since the one in Tasmania precipitated the disarming. Nor have they had one prior to that one. Fact is, if I recall correctly, that is the ONY one.
That makes as much sense as outlawing commercial airline travel after ONE crash. We’ve had THREE Amtrak crashes in the past year, total casualties quite close to the number 17, from the Florida school. Yet I see no calls for outlawing rail passenger service.
Three real tragical roots of the Florida massacre:
Disarmed teachers (per federal law), refusal to report any of the four “incidents” the pep had committed in his recent past, any one of which WOULD have blocked him from passing a backgroind check. His crimes were made to go away so as not to harm their statistical goals of “reduced arrests”. SO they had security out into the dustbin in favour of FedBux… the third dragical root. WHY are FedBux being distributed to schools for returning more favourable numbers on crime? WILL there be a watchdog put in plce to assure the same Obfuscationi Game is not being played to game the system?
The shooting in Port Arthur, Tasmania was not a school shooting, it was at a tourist attraction. We have however had a mass shooting (by the FBI standard of four or more deaths) with the Hunt family massacre and two attempted mass shootings since the 1996 restrictions as follows:
1999 – Wollongong shooting with 1 dead & 9 injured
2002 – Monash Uni shooting 2 dead & 5 injured
2014 – Hunt family shooting with 4 dead + the perp
As well as that there have been mass murders using other means:
2000 – Childers Palace Backpackers fire, 15 dead
2009 – Churchill Fire 10 dead
2009 – Victorian Bushfires (Black Saturday) with 173 dead & 414 injured
2011 – Quakers Hill Nursing Home fire, 11 dead
2014 – Cairns child murders 8 children + 1 adult stabbed to death
2016 – Sydney family of 4 gassed to death
2017 – Melbourne Car Attack with 6 dead & 30 injured
All fires were deliberately lit for maximum effect. Evil will always find a way it seems.
By the way semi-auto rifles were not banned but heavily restricted. You can still get a semi-auto rifle if you pass the police background checks and have a contract with a farmer or National Parks for example to hunt feral animals. You would have to have a few contracts in case one of the contracts fell through as you can only use the firearm on the property you have a contract with.